Санкт-петербургский парадокс
В 1738 году Даниил Бернулли предложил объяснение так называемого Санкт-Петербургского парадокса, иллюстрирующего расхождение между теоретически оптимальным поведением человека (игрока) и «здравым смыслом». Этот парадокс возник как математический казус и попытка найти всеобщий принцип (правило) принятия решений в условиях неопределённостей. Этот парадокс неявно сыграл важную роль в развитии экономических теорий и стал предтечей теории ожидаемой полезности.
Суть парадокса в следующем. Предлагается следующая игра: подбрасывается монетка до первого выпадения орла. По итогам игры выплачивается выигрыш в размере 2N-1 руб., где N – номер броска, на котором выпадет орёл.
Вопрос: сколько бы вы заплатили за участие в такой игре? Или, в другой формулировке, при каком вступительном взносе игра становится выгодной (то есть игрок выиграет больше, чем заплатит)?
При каждом подбрасывании вероятность выпадения орла 1/2 или 0,5 (так как монетка выпадет либо орлом, либо решкой). При этом предыдущий результат подбрасывания не оказывает влияние на результат последующего подбрасывания. Каждое подбрасывание независимо друг от друга. Если орёл выпадает при первом броске, то выигрыш составит 1 рубль. Если орёл выпадает при втором броске, то выигрыш составит 2 рубль. Если орёл выпадает при третьем броске, то выигрыш составит 4 рубля. При четвёртом – 8 рубля и т.д. Другими словами, выигрыш, возрастая от броска к броску вдвое, последовательно пробегает степени двойки – 1, 2, 4, 8, 16, 32 и так далее.
Другими словами, подходящим математическим описанием данной ситуации, является случайная величина х, принимающая значения ? = 2N-1, с вероятностью р = 2-N. Требуется найти значение, которое в определённом смысле эквивалентно указанной величине. В качестве такого эквивалента случайных величин (в данном случае цена участия в игре) используют математическое ожидание (как справедливую цену азартной игры). Математическое ожидание есть среднее значение случайной величины, которая считается по следующей формуле:
М(х) = р1х1 + р2х2 + … рnхn,
где р1, р2, …рn – вероятность каждого исхода, х1, х2, …хn – значение каждого исхода.
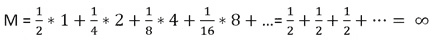
Математическое ожидание выигрыша:
• N=1 (при первом подбрасывания составляет), р1х1 = 2-N * 2N-1= 0,5*20 = 0,5 руб.;
• N=2 (при втором подбрасывания составляет), р2х2= 2-N * 2N-1= 0,25*21 = 0,5 руб.;
• N=3(при третьем подбрасывания составляет), р3х3= 2-N * 2N-1= 0,125*22 = 0,5 руб.;
• И т.д.

Как видим, для данной задачи математическое ожидание выигрыша бесконечно.
Это означает, что формально игрок может получить бесконечно большой выигрыш, однако большинство людей уклонится от участия в такой игре. Именно по этой причине и используется слово «парадокс» в названии задачи.
Иными словами, ожидаемый денежный выигрыш в игре бесконечен, однако рациональный игрок не готов заплатить за возможность участие в ней даже весьма небольшую цену. Казалось бы, какую бы цену организатор игры не запрашивал, в ней выгодно участвовать, так как ожидаемый выигрыш бесконечно велик, но на таких условиях найдётся мало желающих, готовых поучаствовать в игре.
Почему это так? Для объяснения этого, Бернулли предположил, что люди максимизируют не ожидаемый выигрыш, а ожидаемую полезность от выигрыша.
Более 800 000 книг и аудиокниг! 📚
Получи 2 месяца Литрес Подписки в подарок и наслаждайся неограниченным чтением
ПОЛУЧИТЬ ПОДАРОКДанный текст является ознакомительным фрагментом.