«Щелчок»
Когда вы записываете идеи и проблемы, тем самым запускаете феномен, который Джордж Мандлер, ведущий специалист в области сознания, называет «щелчком». При щелчке решение или идея после инкубационного периода появляется на первый взгляд ниоткуда.
Очень возможно, что сам процесс записи мыслей и идей по поводу конкретной проблемы перемещает информацию в долгосрочную память и подсознание. Хотя сознание играет важную роль в повседневной жизни, ограничивая наши действия, в подсознании можно безгранично активировать сложные информационные комплексы. Информация, содержащаяся в долгосрочной памяти, может обрабатываться в подсознании параллельно и потом находить дорогу к сознательному мышлению. Новаторская идея появляется не благодаря последовательности мыслей в реальном времени, а посредством «щелчка», или мыслительного взрыва.
Допустим, в вашей записной книжке содержится:
• информация о проблеме, над которой вы работаете;
• информация о других идеях, концепциях и проблемах, над которыми вы работаете.
Периодически обращаясь к записной книжке, вы активируете всю зафиксированную там информацию в сознании и подсознании. Так запускается система сетевого мышления, при которой идеи, образы и концепции совершенно не связанных между собой проблем соединяются, чтобы породить нечто творческое. Этот по природе своей нелинейный процесс мыслительной деятельности может протекать на подсознательном уровне, и необязательно в реальном времени.
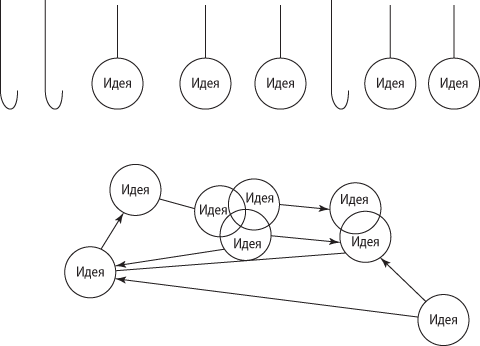
Концепции сочетаются, подобно световым лучам, собираются в одной точке и «щелкают» у вас в подсознании. На рисунке А – это отражение связей клеток мозга среднего человека, работающего над проблемой, а В – отражение связей клеток мозга, постоянно стимулируемых записью и анализом информации.

Если вы привыкнете записывать идеи, информация отложится в подсознании и каким-то образом приведет в действие соответствующие шаблоны, что может натолкнуть на решение-«щелчок», даже если уже пройдет много времени после попыток решить проблему. В 1970-е годы Фрэнк Вильчек из Института перспективных исследований в Принстоне, штат Нью-Джерси, догадался, почему атомные ядра удерживаются вместе; это было одно из редких открытий из серии «отгадай мысли Бога». Этот прорыв случился, когда он рассматривал совершенно иную проблему, связанную с совершенно другой областью природы. «Щелчок» случился неожиданно: он понял, что неверный подход в одной области может оказаться правильным в другой.
Архимеда осенила внезапная догадка по поводу закона вытеснения, когда он днем принимал ванну. По легенде, он был так поражен открытием, что голым побежал по улице с криком «Эврика!» («Я нашел!»). Анри Пуанкаре, французский гений, рассказывал о невероятных идеях и догадках, внезапно приходивших к нему из ниоткуда, так что сразу становилось понятно: они верны. Появление таких идей может быть настолько внезапным, что сам момент, когда они приходят в голову, можно запомнить в мельчайших подробностях. Дарвин мог показать точное место на дороге, где нашел решение проблемы происхождения видов, пока ехал в экипаже и думал о чем-то отвлеченном. Такой же опыт переживали и другие гении. Идеи и решения, как внезапные вспышки молнии, появляются словно бы ниоткуда.
То, что этот феномен не так редок, было продемонстрировано в исследовании известных ученых, проведенном более полувека назад. Большинство ученых сообщили, что лучшие идеи и догадки появлялись у них не во время обдумывания соответствующей проблемы. Теории возникали на прогулках, на отдыхе, при работе над совершенно другими задачами. Это показывает, как акт творчества сочетается с «божественным вдохновением»: догадка, похоже, приходит непроизвольно.
Чем больше проблем, идей и мыслей вы зафиксируете, чем чаще будете к ним обращаться, тем более сложную структуру образует информационная сеть вашего мозга. Представьте мысли в виде атомов, висящих на крючках по бокам мозга. Когда вы думаете над проблемой, некоторые из них освобождаются и запускаются в подсознание. Чем усиленнее вы размышляете, тем больше информации откладывается в долгосрочной памяти благодаря систематическому ведению записей и тем больше мыслей приходит в хаотическое движение. Подсознание никогда не пребывает в покое. Когда вы перестаете думать о предмете, подсознание работу не прекращает. Мысли продолжают свободно блуждать во всех направлениях подсознания. Они сталкиваются, сочетаются и пересочетаются миллионами разных способов. Обычно большинство комбинаций бессмысленны или малоосмысленны, но порой создается такое соединение, которое ваше подсознание расценивает положительно и предлагает сознанию в качестве «щелчка».

Наше сознание порой блокирует порождение новых идей из-за излишней фиксации. Когда мы перестаем на некоторое время работать над проблемой, фиксация становится слабее и позволяет подсознанию свободно создавать новые возможности. Это произошло с нобелевским лауреатом Мелвином Калвином. Он спокойно сидел в машине и ждал жену, чтобы закончить дела, как вдруг его осенило решение загадочного несоответствия в исследовании фотосинтеза. Это произошло очень неожиданно – в доли секунды ученому стала ясна роль углерода.
Чтобы испытать «щелчок», попробуйте следующий эксперимент. Напишите вашему подсознанию письмо о проблеме, над которой работаете. Письмо должно быть как можно более подробным. Опишите проблему, предпринятые меры, непонятные места, потребности, препятствия, идеальное решение и т. д. Поручите подсознанию найти решение. Напишите: «Твоя задача – найти решение проблемы. Хотелось бы ознакомиться с ним через два дня». Запечатайте письмо и отложите. Забудьте о нем. Через два дня откройте. Если проблема все еще не решена, припишите в конце письма: «Сообщи сразу, как решишь». Рано или поздно, когда вы будете отдыхать или займетесь чем-то другим, идеи и решения внезапно всплывут из подсознания.
Мозг работает и тогда, когда вы спите. Причину того, что самые творческие люди работают по утрам, объяснил Бальзак, великий французский романист: он собирался воспользоваться тем, что его мозг работает, пока он спит. Когда Иоганна Себастьяна Баха, одного из гигантов в истории музыки, спросили, где он находит мелодии, тот ответил, что проблема не в том, чтобы их найти, а в том, чтобы утром, проснувшись, их не забыть. Томас Эдисон порой ложился спать прямо за столом в лаборатории, чтобы иметь возможность с самого утра начать работать, ничего не забыв.
Попробуйте перед сном выполнить следующее упражнение. В течение нескольких минут обдумывайте проблему, над решением которой сейчас бьетесь. Запишите на листе бумаги несколько ключевых слов и положите на прикроватной тумбочке. Забудьте о проблеме и ложитесь спать. Проснувшись, сразу посмотрите на листок. Возможно, вам придут в голову новые догадки, вы увидите проблему более отчетливо, а может быть, «щелчок» случится сразу.
Более 800 000 книг и аудиокниг! 📚
Получи 2 месяца Литрес Подписки в подарок и наслаждайся неограниченным чтением
ПОЛУЧИТЬ ПОДАРОК